U-266-Luc
CBP30264L
| I. Introduction | |
| Host Cell: | U-266-Luc |
| Expressed gene: | Luciferase |
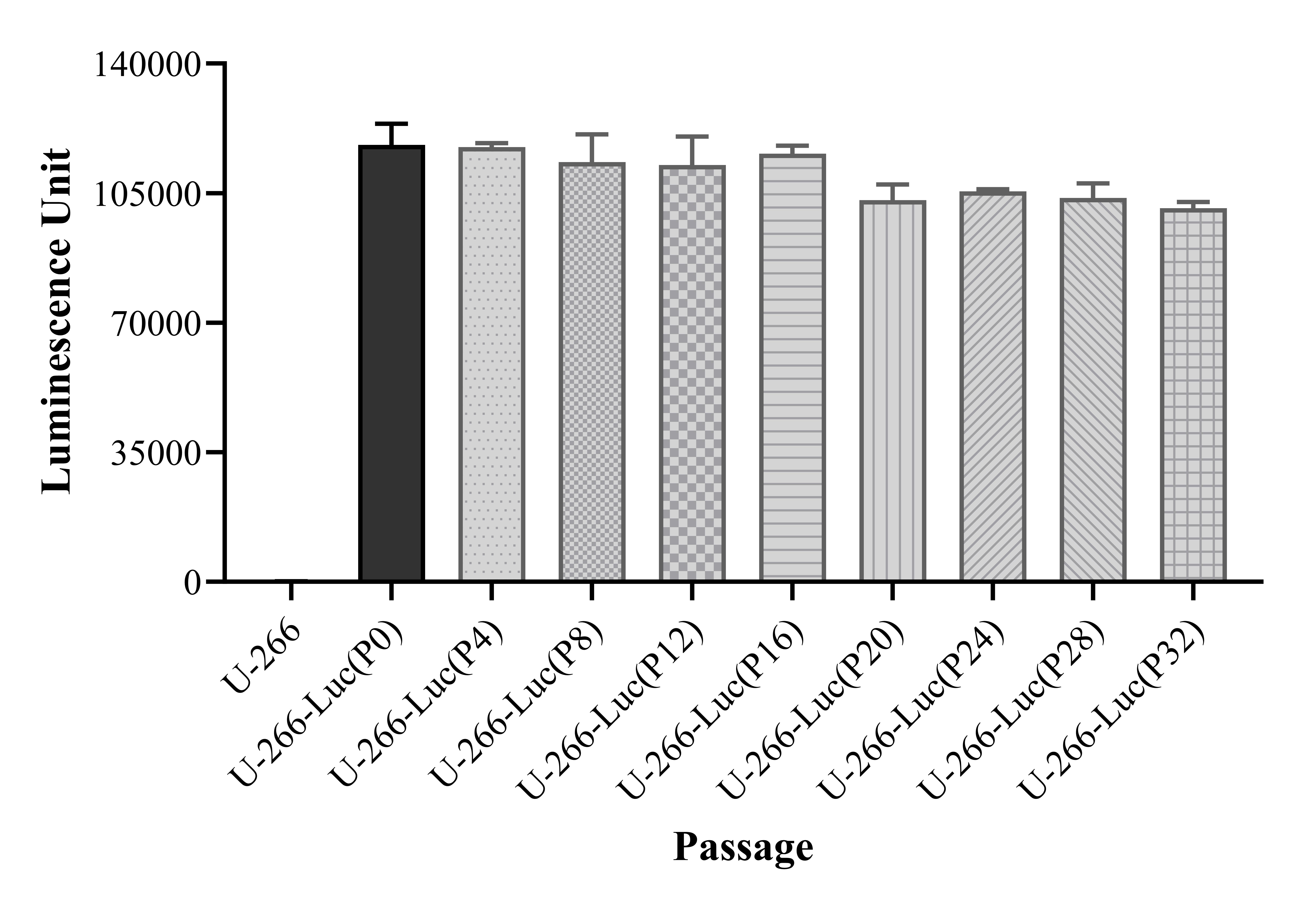
| Stability: | 32 passages(in-house test, that not means the cell line will be instable beyond the passages we tested.) |
| Freeze Medium: | 90% FBS+10% DMSO |
| Culture Medium: | RPMI-1640+15%FBS+2 μg/ml Puromycin |
| Mycoplasma Status: | Negative |
| Storage: | Liquid nitrogen |
| II. Description of Host Cell Line | |
| Organism: | Homo sapiens, human |
| Tissue: | peripheral blood |
| Disease: | myeloma; plasmacytoma |
| Morphology: | lymphoblast |
| Growth Mode: | suspension |
| III. Representative Data | |
![]() |
|
|
Figure 1. Stablity test results. U-266-Luc showed at least 32 passage stability with similar luminescence unit. |
|
