SiHA-Luc
CBP30252L
| I. Introduction | |
| Host Cell: | SiHA |
| Expressed gene: | Luciferase |
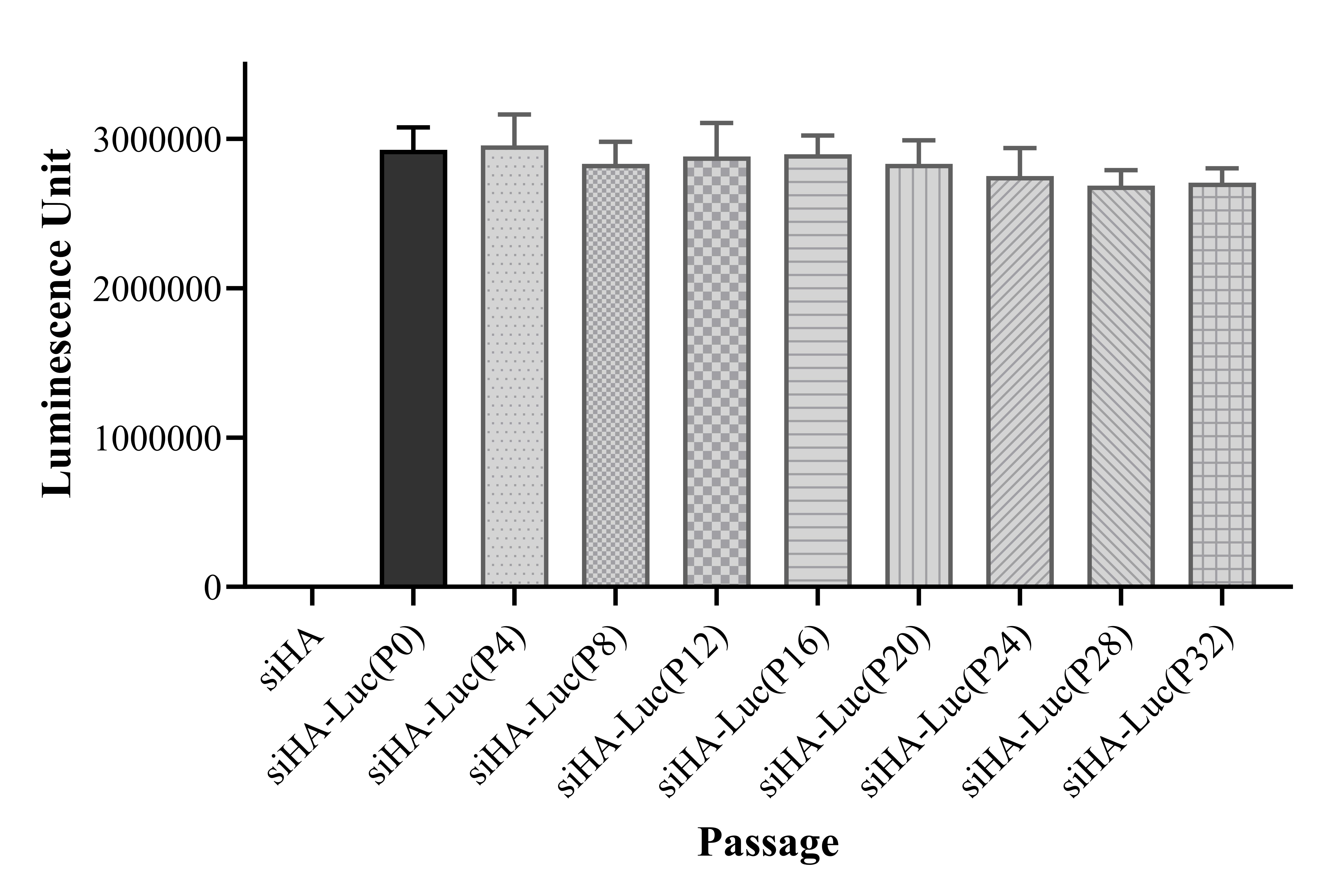
| Stability: | 32 passages(in-house test, that not means the cell line will be instable beyond the passages we tested.) |
| Freeze Medium: | 90% FBS+10% DMSO |
| Culture Medium: | DMEM+10%FBS+2μg/ml puromycin |
| Mycoplasma Status: | Negative |
| Storage: | Liquid nitrogen |
| II. Description of Host Cell Line | |
| Organism: | Homo sapiens, human |
| Tissue: | cervix |
| Disease: | grade II,squamous cell carcinoma |
| Morphology: | Epithelial |
| Growth Mode: | Adherent |
| III. Representative Data | |
![]() |
|
|
Figure 1. Stablity test results. SiHA-Luc showed at least 32 passage stability with similar luminescence unit. |
|
